ロストメディアの「ゴゴラ(Gogola)」について調べてみた

ロストメディア

ロストメディアの「ゴゴラ」について調べました。

ゴゴラとは、インドの怪獣映画です。
ゴジラの影響を受けた作品と一部では言われていますが、定かではありません。

現存している資料は少なく、フィルムの存在も確認されていません

こちらの映画について調べた内容を以下にまとめます。

「ゴゴラ」概要

「ゴゴラ」の情報をまとめます。

https://www.imdb.com/title/tt3430032/

映画題名:ゴゴラ(英表記:Gogola / ヒンディー語表記:गोगोला)
配給:インドラ・ダヌシュ・フィルムズ(Indra Dhanush Films)
公開年:1966年

【スタッフ】
監督・特撮担当:バルワント・デイブ(Balwant Dave)
脚本:シャンブ・ネマ(Shambhu Nema)
プロデューサー:T・M・ライ(T.M.Rai)
音楽担当:ライ&フランク(Rai & Frank)
美術担当:D・マルヴァンカル(D.Malvankar)

【キャスト】
アザード・イラニ(Azaad Irani)
タバスム・ゴビル(Tabassum Govil)
ナヤム・パリ(Nayam Palli)
ポルソン(Polson)
ラニ(Rani)
バハレ・ラオ(Bhale Rao)


・ゴゴラはインドで制作された映画であり、「インド唯一の巨大怪獣映画」と言われています。
“巨大生物”に範囲を広げると、1963年に公開されたShikariなどがあります。
 “巨大怪獣“に限ると、「ゴゴラ」は“インド唯一の巨大怪獣映画”と言われています。



映画情報は以下サイトを参照しました。
・Wikipedia – Gogola (film)
https://en.wikipedia.org/wiki/Gogola_(film)

・Fandom – Lost Media Archive
https://lostmediaarchive.fandom.com/wiki/Gogola_(Lost_Bollywood_monster_movie)

・Fandom – Lost Media en Español
https://lostmedia.fandom.com/es/wiki/Gogola_(pel%C3%ADcula_de_monstruos_hind%C3%BA_perdida;_1966)

・Fandom – Утерянные медиа Вики
https://lostmedia.fandom.com/ru/wiki/%D0%93%D0%BE%D0%B3%D0%BE%D0%BB%D0%B0_(%D1%84%D0%B8%D0%BB%D1%8C%D0%BC,_1966)

・Lost Media wiki
https://lostmediawiki.com/Gogola_(lost_Bollywood_monster_movie;_1966)

・WIKIZILLA
https://wikizilla.org/wiki/Gogola_(film)

・アニヲタWiki(仮)
https://w.atwiki.jp/aniwotawiki/pages/36972.html

・IMDb
https://www.imdb.com/title/tt3430032

・Scroll.in
https://scroll.in/reel/805383/films-that-are-50-gogola-kaun-gogola-bada-janwar-ok-ok

確認できる画像・音楽など

現在確認できる資料はとても少ないです。
以下に紹介します。

画像

IMDbに10枚の画像が掲載されています。

https://www.imdb.com/title/tt3430032


他に、今年に入ってから新たに1枚の画像が発見されています

https://www.academia.edu/23559485/Films_that_are_50_Gogola

ゴゴラが持ち上げている建造物は、ムンバイのインド門(Gateway of India)のように見えます。

音楽

映画内で使用された音楽は、1966年に6曲入りのアルバムとして販売されたそうです。
https://en.everybodywiki.com/Gogola_(film)

6曲ともYouTubeで聞くことができます。
参考として、以下に掲載します。

検閲台本

下記記事によると、ゴゴラの検閲台本(censor script)が存在しているそうです。
https://scroll.in/reel/805383/films-that-are-50-gogola-kaun-gogola-bada-janwar-ok-ok

検閲台本(censor script)とは、おそらく映画の認証審査(レイティングなど)のために作成される検閲用の台本だと思われます。
インドの場合、検閲台本は中央映画認証委員会(CBFC)という機関に提出します。

こちらの検閲台本を探しましたが、見つかりませんでした


もし検閲台本があるとすれば、NFDC-NFAIに所蔵されている可能性があります
https://nfai.nfdcindia.com/index.php

NFDCとは、インド国立映画開発公社(National Film Development Corporation of India)のことです。
NFAIとは、インド国立フィルム・アーカイヴ(National Film Archive of India)のことです。
NFDCとNFAIは元々別の機関でしたが、業務重複を解消するため、2020年にNFDC がNFAIを吸収しました

NFDC-NFAIのサイトを確認すると、下記の説明文があります。

NFAI library holds about 29,000 books on cinema published across the globe. It has more than 100 periodicals on Cinema published in various languages. 31,000 film scripts received from the Central Board of Film Certification (CBFC) are also available.

Censor records going back to the 1920s and bound volumes of Indian film magazines from the 1930s onwards are among the other important materials available for reference and study.

【翻訳】
NFAI図書館には、世界中で出版された映画に関する書籍が約29,000冊所蔵されています。また、様々な言語で発行された映画に関する定期刊行物も100誌以上所蔵しています。さらに、中央映画認証委員会(CBFC)から提供された31,000本の映画脚本も閲覧可能です。

1920年代に遡る検閲記録や、1930年代以降のインド映画雑誌の製本版なども、参考資料や研究資料として利用可能な重要な資料です。

https://nfai.nfdcindia.com/introduction.php?catId=VFZSUlBRPT0%3D&patId=VFdjOVBRPT0%3D&rootId=VFdjOVBRPT0%3D

検閲機関である中央映画認証委員会(CBFC)からの提供物が多くあり古い記録物も多数所蔵していることから、「ゴゴラの検閲台本」が存在している可能性はあります


しかし、NFDC-NFAIは資料の貸出しを行っておらず、確認するためには直接訪れないといけないそうです。

Library is open for all, for research purpose only. The material from the library is not for lending. Research worker has to visit personally to collect data.

【翻訳】
図書館は研究目的に限り、どなたでもご利用いただけます。図書館資料の貸出は行っておりません。研究する方は、資料収集のためにご自身でご来館いただく必要があります

https://nfai.nfdcindia.com/introduction.php?catId=VFZSUlBRPT0%3D&patId=VFdjOVBRPT0%3D&rootId=VFdjOVBRPT0%3D

インド政府の官報にゴゴラの記載

1966年5月7日に発行されたインド政府の官報に、ゴゴラに関する記載がありました。
https://archive.org/details/in.gazette.central.w.1966-05-07.76733/page/n21/mode/2up

https://archive.org/details/in.gazette.central.w.1966-05-07.76733/page/n21/mode/2up
https://archive.org/details/in.gazette.central.w.1966-05-07.76733/page/n23/mode/2up

中央映画検閲委員会(CBFC)がゴゴラの映画に対して検閲を行い、削除・変更の指示をした内容だと考えられます。

以下に官報内容を記載します。

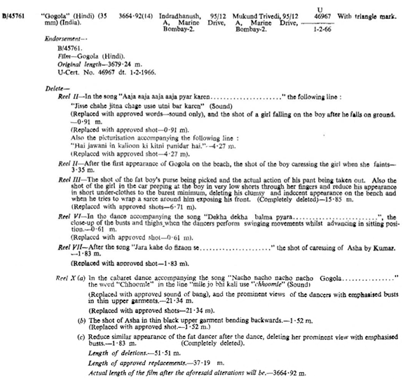
“Gogola” (Hindi) (35 mm) (India).
3664·92(14) Indradhanush, 95/12 A, Marine Drive, Bombay-2.
Mukund Trivedi, 95/12 A, Marine Drive, Bombay-2.
U 46967 With triangle mark. 1-2-66

Endorsement—
B/45761.
Film—Gogola (Hindi).
Original length—3679·24 m.
U-Cert. No. 46967 dt. 1-2-1966.

Delete—

Reel II— In the song “Aaja aaja aaja aaja pyar karen…………………..” the following line:
“Jisse chahe jitna chahe usse utni bar karen” (Sound)
(Replaced with approved words—sound only), and the shot of a girl falling on the boy after he falls on ground.—0·91 m.
(Replaced with approved shot—0·91 m).
Also the picturisation accompanying the following line:
“Hai jawani in kalioan ki kitni namidar hai.”—4·27 m.
(Replaced with approved shot—4·27 m).

Reel II— After the first appearance of Gogola on the beach, the shot of the boy caressing the girl when she faints—3·35 m.

Reel III— The shot of the fat boy’s purse being picked and the actual action of his pant being taken out. Also the shot of the girl in the car peeping at the boy in very low shorts through her fingers and reduce his appearance in short under-clothes to the barest minimum, deleting his clumsy and indecent appearance on the bench and when he tries to wrap a sarce around him exposing his front. (Completely deleted)—15·85 m.
(Replaced with approved shots—6·71 m).

Reel VI— In the dance accompanying the song “Dekha dekha balma pyara………………….”, the close-up of the busts and thighs, when the dancers perform swinging movements whilst advancing in sitting position—0·61 m.
(Replaced with approved shot—0·61 m).

Reel VII— After the song “Jara kabhe do fizoon se…………………….” the shot of caressing of Asha by Kumar.—1·83 m.
(Replaced with approved shot—1·83 m).

Reel X
(a) In the cabaret dance accompanying the song “Nacho nacho nacho nacho Gogola…………….” the word “Chhoomle” in the line “mile jo bhi kali use ‘chhoomle’” (Sound)
(Replaced with approved sound of bang), and the prominent views of the dancers with emphasised busts in thin upper garments.—21·34 m.
(Replaced with approved shots—21·34 m).

(b) The shot of Asha in thin black upper garment bending backwards.—1·52 m.
(Replaced with approved shot.—1·52 m.)

(c) Reduce similar appearance of the fat dancer after the dance, deleting her prominent view with emphasised busts.—1·83 m. (Completely deleted).

Length of deletions.— 51·51 m.
Length of approved replacements.— 37·19 m.
Actual length of the film after the aforesaid alterations will be.— 3664·92 m.

https://archive.org/details/in.gazette.central.w.1966-05-07.76733/page/n21/mode/2up
https://archive.org/details/in.gazette.central.w.1966-05-07.76733/page/n23/mode/2up

「Gogola」(ヒンディー語/35mm/インド)
3664.92(14) Indradhanush(住所:Bombay-2, Marine Drive 95/12 A)
Mukund Trivedi(住所:Bombay-2, Marine Drive 95/12 A)
区分:U 証明番号:46967 三角印付き 1966年2月1日付

付記—
B/45761
作品:Gogola(ヒンディー語)
原版長:3679.24メートル
U等級証明番号:46967(1966年2月1日付)

削除(指示)—

第II巻— 歌「Aaja aaja aaja aaja pyar karen」の中の次の一行:
「Jisse chahe jitna chahe usse utni bar karen(好きな相手と好きなだけ何度でも)」〔音声〕
→ 認可済みの語句(音声のみ)に差し替え。さらに、男が地面に倒れた後、女の子が彼の上に倒れかかるショットを削除。
0.91m(同尺の認可ショットで差し替え)。
また、次の一行に伴う映像も削除:
「Hai jawani in kalioan ki kitni namidar hai.」
4.27m(認可ショットで同尺差し替え)。

第II巻— ゴゴラが浜辺に初登場した直後、気絶した少女を少年が愛撫するショットを削除。3.35m

第III巻— 太った少年の財布がすられるショットおよびズボンを実際に脱がされる動作を削除。さらに、車中の少女が、きわめて短いショーツ姿の少年を指の隙間から覗くショット、ならびに少年の下着姿が露わになる描写を最小限に抑えること。ベンチでの不格好でわいせつな姿や、前を露出したまま体に布を巻こうとする場面は削除。— 15.85m(全削除)(認可ショット 6.71m に置換)。

第VI巻— 歌「Dekha dekha balma pyara」に合わせたダンスで、ダンサーが座位のまま前進しつつ腰を振る動きの際の胸部・大腿部のクローズアップを削除。0.61m(同尺の認可ショットに置換)。

第VII巻— 歌「Jara kabhe do fizoon se」の後、クマールがアーシャを愛撫するショットを削除。1.83m(同尺の認可ショットに置換)。

第X巻(Reel X)
(a)キャバレー風ダンス、歌「Nacho nacho nacho nacho Gogola」において、歌詞「mile jo bhi kali use ‘chhoomle’(見つけた蕾は“キスしてしまえ”)」の語 “Chhoomle” を〔音声〕銃声(bang)などの認可音に差し替え。さらに、薄い上衣で胸を強調したダンサーの露骨なショットを削除。21.34m(認可ショット 21.34m に置換)。

(b)アーシャが薄い黒の上衣で上体を反らせるショットを削除。1.52m(同尺の認可ショットに置換)。

(c)ダンス後に登場する太った女性ダンサーについて、胸部を強調した露骨な映りを削除して外観を抑制。1.83m(全削除)。

削除総尺:51.51m
認可置換総尺:37.19m
上記改変後の実尺:3664.92m

翻訳

所々にメートル表記(m)がありますが、デジタル以前はフィルムを物理的長さ(メートル)で管理していたと考えられます

主に異性に関する描写ダンス中の露骨な性描写が削除対象になっているようです。

複数のダンスシーンに言及していることから、ゴゴラにもインド映画特有のダンスが含まれていたことが分かります。

redditの投稿

redditの投稿に、ゴゴラの映画を「発見した」もしくは「目撃した」という投稿がいくつかあります。
しかし、どれも映画の公開まで至っていません

下記redditは、「祖父の古いフィルムリールのコレクションからゴゴラを発見した」という投稿です。
https://www.reddit.com/r/GODZILLA/comments/1bpiudi/after_years_and_years_of_work_i_have_found_my/
しかし、映画の公開がされないままコメントが途絶えてしまいました

下記redditは、「友人の友人が映画のコピーを持っているかもしれない」という投稿です。
https://www.reddit.com/r/lostmedia/comments/loi3sf/potential_leads_to_finding_gogola_1966_lost/
しかし、捜索・確認に時間がかかるらしく、そのままコメントが途絶えてしまいました

他のいくつかの投稿でも、映画の公開に至るまで投稿は確認できませんでした

まとめ

ロストメディアの「ゴゴラ」について調べた内容をまとめます。

「ゴゴラ」は、1966年にインドで公開された怪獣映画です。

・ゴゴラは「インド唯一の巨大怪獣映画」と言われています。

・現存している資料は、画像、音楽、検閲台本があります。
しかし、検閲台本の内容をどこで確認できるかは不明です。可能性としてはNFDC-NFAIが挙げられます。

・1966年5月7日に発行されたインド政府の官報に、ゴゴラに関する記載があります。削除対象となっているシーンが記載されています

・インド政府の官報について、複数のダンスシーンに言及していることから、ゴゴラにもインド映画特有のダンスが含まれていたことが分かります。

・redditにゴゴラの投稿がいくつかありますが、どれも映画の公開に至っていません

コメント

タイトルとURLをコピーしました